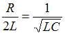
Характеристическое уравнение цепи имеет вид
Переходный процесс в этой цепи будет носить колебательный характер при …
Переходный процесс в этой цепи будет носить колебательный характер при …• 

• 

• 

• 

Переходный процесс в этой цепи будет носить колебательный характер при …


