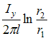
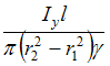
Изображение вопроса На рисунке изображено поперечное сечение коаксиаль...
На рисунке изображено поперечное сечение коаксиального кабеля с плотностью тока утечки через несовершенную изоляцию Изображение вопроса На рисунке изображено поперечное сечение коаксиаль...
Напряжение между прямым и обратным проводами отрезка кабеля длиной l равно …
• 
• 
• 
• 
Тема: Стационарные электрические и магнитные поля
Предмет: Электротехника и электроника (Основы теории цепей)