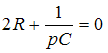
Изображение вопроса Характеристическое уравнение цепи имеет вид …...
Характеристическое уравнение цепи имеет вид …
• 
• 
• 
• 
Тема: Расчет переходных процессов в R-С цепях первого порядка
Предмет: Электротехника и электроника (Основы теории цепей)