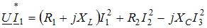
Изображение вопроса Для приведенной схемы верно составлено уравнение &...
Для приведенной схемы верно составлено уравнение …
• 
• 
• 
• 
Тема: Баланс мощностей
Предмет: Электротехника и электроника (Основы теории цепей)