Изображение вопроса При переводе переключателя из положения I в положе...
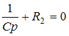
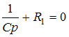
При переводе переключателя из положения I в положение II в цепи начинается переходный процесс. Характеристическое уравнение имеет вид …
• 
• 
• 
• 
Тема: Расчет переходных процессов в R-С цепях первого порядка
Предмет: Электротехника и электроника (Основы теории цепей)