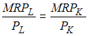
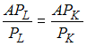
Правило минимизации издержек при использовании ресурсов труда Изображение вопроса Правило минимизации издержек при использовании рес... и капитала Изображение вопроса Правило минимизации издержек при использовании рес... имеет вид …
• 
• 
• 
• 
Тема: Спрос и предложение на рынке факторов производства
Предмет: Экономика