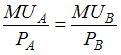
Условие максимизации полезности потребителя при приобретении товаров А и В в рамках кардиналистского подхода, выделяющего категории общей полезности (TU) и предельной полезности (MU), определяется следующим условием …
• 
• 
• 
• 
Тема: Поведение потребителя и потребительский выбор
Предмет: Экономическая теория