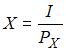
Если I – денежный доход потребителя, на который он приобретает два товара X и Y,
– цена товара X,
– цена товара Y, то количество товара X, доступное потребителю, будет рассчитываться по следующей формуле: …
– цена товара X,
– цена товара Y, то количество товара X, доступное потребителю, будет рассчитываться по следующей формуле: …• 

• 

• 

• 
