При условии, что четыре пекаря выпекают в смену 20 пицц, пять пекарей – 24 пиццы, в шесть пекарей – 27 пицц, величина предельного продукта труда шестого пекаря равна …
• 3
• 6

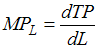
Предельный продукт труда рассчитывается по следующей формуле:
, где – прирост производства пиццы,  – прирост использования ресурса труда.

• 2

Предельный продукт труда рассчитывается по следующей формуле:
, где – прирост производства пиццы,  – прирост использования ресурса труда.

• 5

Предельный продукт труда рассчитывается по следующей формуле:
, где – прирост производства пиццы,  – прирост использования ресурса труда.

Предмет: Экономическая теория