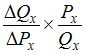
Формулой для расчета коэффициента перекрестной эластичности спроса по цене является Изображение вопроса Формулой для расчета коэффициента перекрестной эла... …
• 
• 
• 
• 
Тема: Эластичность спроса и предложения
Предмет: Экономическая теория