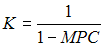
Формулой мультипликатора является …
• 
• 
• 
• 
Тема: Потребление и сбережение. Мультипликатор
Предмет: Экономическая теория