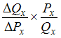
Формулой для расчета коэффициента эластичности спроса по доходу является Изображение вопроса Формулой для расчета коэффициента эластичности спр... …
• 
• 
• 
• 
Тема: Эластичность спроса и предложения
Предмет: Экономическая теория