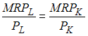
Стремясь к максимизации прибыли, фирма предъявляет спрос на труд и капитал до тех пор, пока не будет обеспечено равенство…
• 
• 
• 
• 
Тема: Спрос и предложение на рынке факторов производства
Предмет: Экономическая теория