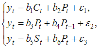
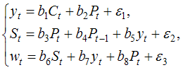
Установите соответствие между классом и видом системы эконометрических уравнений:
(1) система одновременных уравнений
(2) система рекурсивных уравнений
(3) система независимых уравнений
(1) система одновременных уравнений
(2) система рекурсивных уравнений
(3) система независимых уравнений
• 

• 

• 

• 
