Для регрессионной модели вида
, где
рассчитаны дисперсии:
;
;
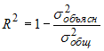
. Тогда величина коэффициента детерминации рассчитывается по формуле …
, где
рассчитаны дисперсии:
;
;
. Тогда величина коэффициента детерминации рассчитывается по формуле …• 

• 

• 

• 
