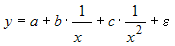
Уравнением нелинейной регрессии, отражающей полиномиальную зависимость y от x, является …
• 
• 
• 
• 
Тема: Нелинейные зависимости в экономике
Предмет: Эконометрика