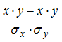
Коэффициент корреляции Изображение вопроса Коэффициент корреляции  парной линейной регрессии ... парной линейной регрессии Изображение вопроса Коэффициент корреляции  парной линейной регрессии ... нельзя рассчитать по формуле …
• 
• 
• 
• 
Тема: Оценка тесноты связи
Предмет: Эконометрика